|
|
Imprimir Cerrar |
| Título: | Resolución exenta número 5.357, de 2025.- Fija listado de derechos de aprovechamiento de aguas afectos al pago de patente a beneficio fiscal por no utilización de las aguas, proceso 2026 |
|---|
| Fecha: | 15-01-2026 | Sector: | Noticia general | Región: | Región Metropolitana de Santiago |
|---|
| Fuente: | Diario Oficial Edición Electrónica (Diario Oficial de Chile - 5 Empresas Y Cooper) | Página(s): | 30-180 |
|---|
| Página: 30 726cm² |
|---|
| Página: 31 726cm² |
|---|
| Página: 32 726cm² |
|---|
| Página: 33 726cm² |
|---|
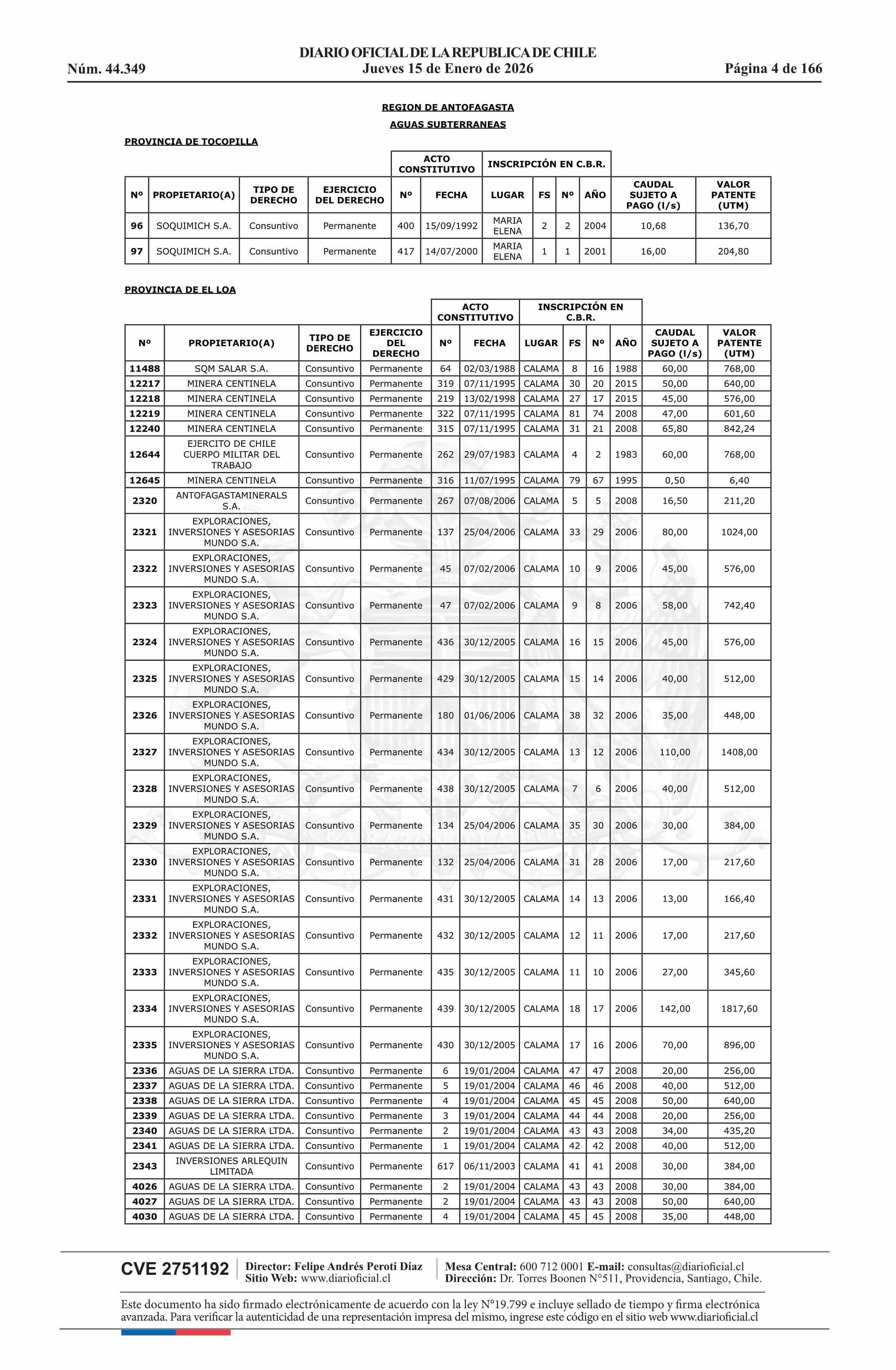
| Página: 34 726cm² |
|---|
| Página: 35 726cm² |
|---|
| Página: 36 726cm² |
|---|
| Página: 37 726cm² |
|---|
| Página: 38 726cm² |
|---|
| Página: 39 726cm² |
|---|
| Página: 40 726cm² |
|---|
| Página: 41 726cm² |
|---|
| Página: 42 726cm² |
|---|
| Página: 43 726cm² |
|---|
| Página: 44 726cm² |
|---|
| Página: 45 726cm² |
|---|
| Página: 46 726cm² |
|---|
| Página: 47 726cm² |
|---|
| Página: 48 726cm² |
|---|
| Página: 49 726cm² |
|---|
| Página: 50 726cm² |
|---|
| Página: 51 726cm² |
|---|
| Página: 52 726cm² |
|---|
| Página: 53 726cm² |
|---|
| Página: 54 726cm² |
|---|
| Página: 55 726cm² |
|---|
| Página: 56 726cm² |
|---|
| Página: 57 726cm² |
|---|
| Página: 58 726cm² |
|---|
| Página: 59 726cm² |
|---|
| Página: 60 726cm² |
|---|
| Página: 61 726cm² |
|---|
| Página: 62 726cm² |
|---|
| Página: 63 726cm² |
|---|
| Página: 64 726cm² |
|---|
| Página: 65 726cm² |
|---|
| Página: 66 726cm² |
|---|
| Página: 67 726cm² |
|---|
| Página: 68 726cm² |
|---|
| Página: 69 726cm² |
|---|
| Página: 70 726cm² |
|---|
| Página: 71 726cm² |
|---|
| Página: 72 726cm² |
|---|
| Página: 73 726cm² |
|---|
| Página: 74 726cm² |
|---|
| Página: 75 726cm² |
|---|
| Página: 76 726cm² |
|---|
| Página: 77 726cm² |
|---|
| Página: 78 726cm² |
|---|
| Página: 79 726cm² |
|---|
| Página: 80 726cm² |
|---|
| Página: 81 726cm² |
|---|
| Página: 82 726cm² |
|---|
| Página: 83 726cm² |
|---|
| Página: 84 726cm² |
|---|
| Página: 85 726cm² |
|---|
| Página: 86 726cm² |
|---|
| Página: 87 726cm² |
|---|
| Página: 88 726cm² |
|---|
| Página: 89 726cm² |
|---|
| Página: 90 726cm² |
|---|
| Página: 91 726cm² |
|---|
| Página: 92 726cm² |
|---|
| Página: 93 726cm² |
|---|
| Página: 94 726cm² |
|---|
| Página: 95 726cm² |
|---|
| Página: 96 726cm² |
|---|
| Página: 97 726cm² |
|---|
| Página: 98 726cm² |
|---|
| Página: 99 726cm² |
|---|
| Página: 100 726cm² |
|---|
| Página: 101 726cm² |
|---|
| Página: 102 726cm² |
|---|
| Página: 103 726cm² |
|---|
| Página: 104 726cm² |
|---|
| Página: 105 726cm² |
|---|
| Página: 106 726cm² |
|---|
| Página: 107 726cm² |
|---|
| Página: 108 726cm² |
|---|
| Página: 109 726cm² |
|---|
| Página: 110 726cm² |
|---|
| Página: 111 726cm² |
|---|
| Página: 112 726cm² |
|---|
| Página: 113 726cm² |
|---|
| Página: 114 726cm² |
|---|
| Página: 115 726cm² |
|---|
| Página: 116 726cm² |
|---|
| Página: 117 726cm² |
|---|
| Página: 118 726cm² |
|---|
| Página: 119 726cm² |
|---|
| Página: 120 726cm² |
|---|
| Página: 121 726cm² |
|---|
| Página: 122 726cm² |
|---|
| Página: 123 726cm² |
|---|
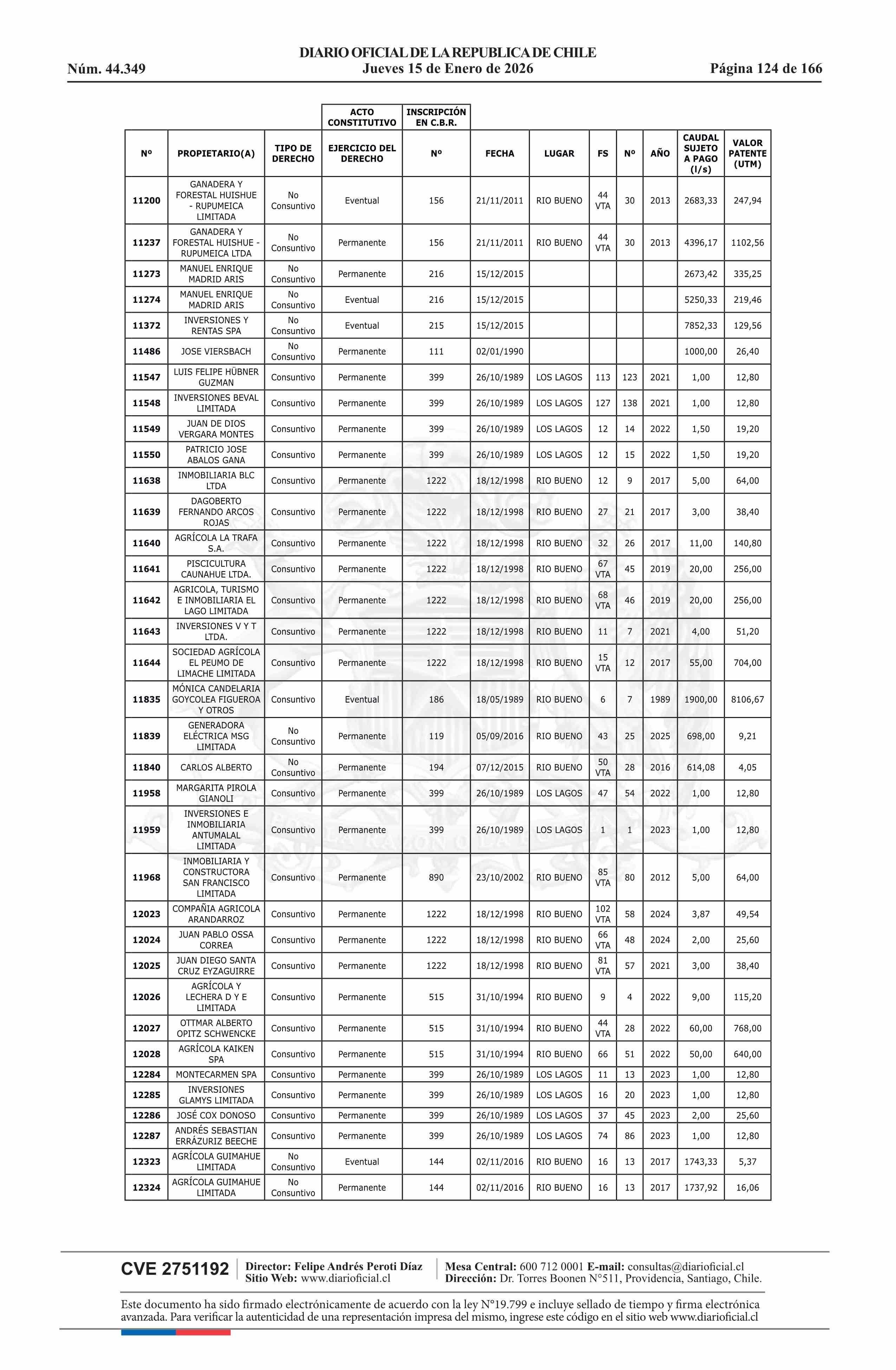
| Página: 124 726cm² |
|---|
| Página: 125 726cm² |
|---|
| Página: 126 726cm² |
|---|
| Página: 127 726cm² |
|---|
| Página: 128 726cm² |
|---|
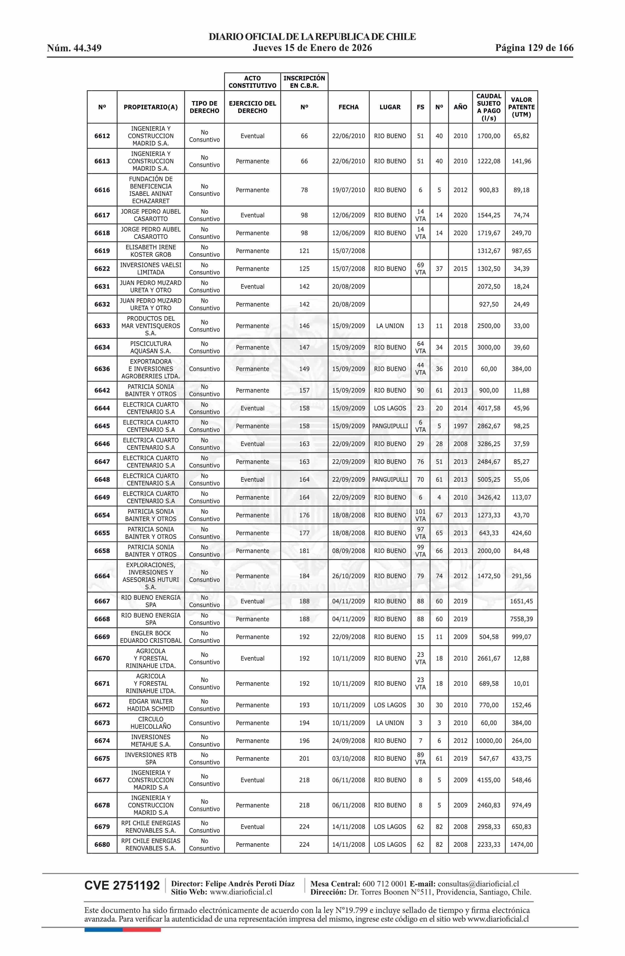
| Página: 129 726cm² |
|---|
| Página: 130 726cm² |
|---|
| Página: 131 726cm² |
|---|
| Página: 132 726cm² |
|---|
| Página: 133 726cm² |
|---|
| Página: 134 726cm² |
|---|
| Página: 135 726cm² |
|---|
| Página: 136 726cm² |
|---|
| Página: 137 726cm² |
|---|
| Página: 138 726cm² |
|---|
| Página: 139 726cm² |
|---|
| Página: 140 726cm² |
|---|
| Página: 141 726cm² |
|---|
| Página: 142 726cm² |
|---|
| Página: 143 726cm² |
|---|
| Página: 144 726cm² |
|---|
| Página: 145 726cm² |
|---|
| Página: 146 726cm² |
|---|
| Página: 147 726cm² |
|---|
| Página: 148 726cm² |
|---|
| Página: 149 726cm² |
|---|
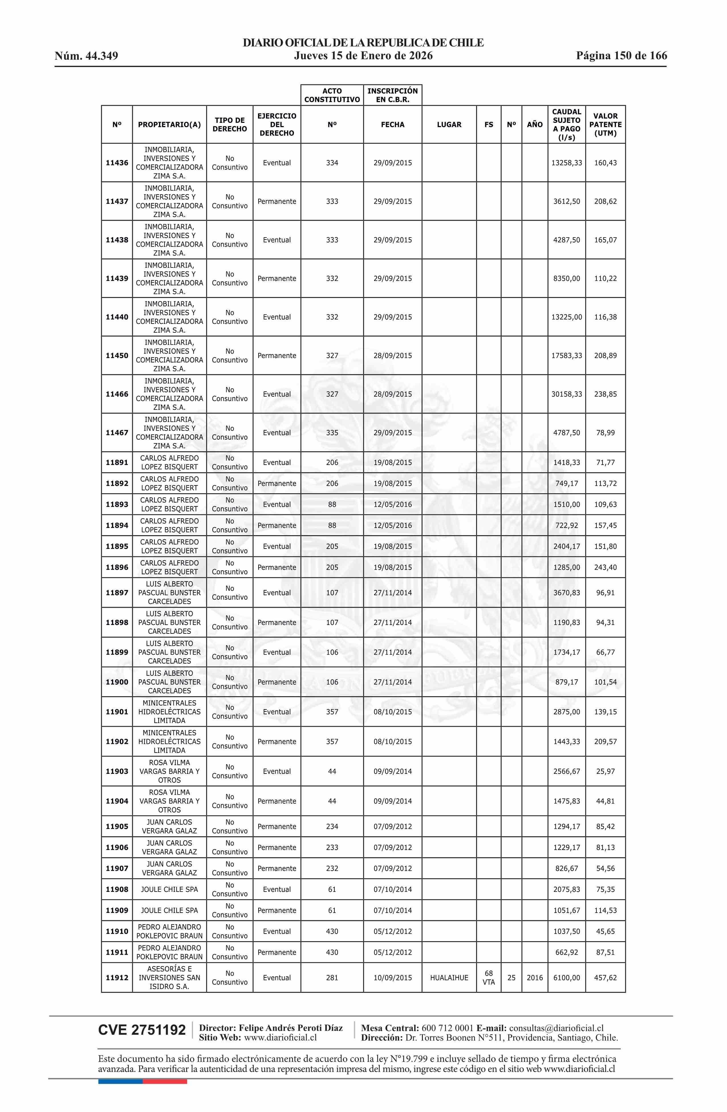
| Página: 150 726cm² |
|---|
| Página: 151 726cm² |
|---|
| Página: 152 726cm² |
|---|
| Página: 153 726cm² |
|---|
| Página: 154 726cm² |
|---|
| Página: 155 726cm² |
|---|
| Página: 156 726cm² |
|---|
| Página: 157 726cm² |
|---|
| Página: 158 726cm² |
|---|
| Página: 159 726cm² |
|---|
| Página: 160 726cm² |
|---|
| Página: 161 726cm² |
|---|
| Página: 162 726cm² |
|---|
| Página: 163 726cm² |
|---|
| Página: 164 726cm² |
|---|
| Página: 165 726cm² |
|---|
| Página: 166 726cm² |
|---|
| Página: 167 726cm² |
|---|
| Página: 168 726cm² |
|---|
| Página: 169 726cm² |
|---|
| Página: 170 726cm² |
|---|
| Página: 171 726cm² |
|---|
| Página: 172 726cm² |
|---|
| Página: 173 726cm² |
|---|
| Página: 174 726cm² |
|---|
| Página: 175 726cm² |
|---|
| Página: 176 726cm² |
|---|
| Página: 177 726cm² |
|---|
| Página: 178 726cm² |
|---|
| Página: 179 726cm² |
|---|
| Página: 180 726cm² |
|---|
Copyright © 2022 · LITORALPRESS