|
|
Imprimir Cerrar |
| Título: | Acuerdo Aprueba Normas para la Evaluación y Calificación del Grado de Invalidez de los Trabajadores Afiliados al Nuevo Sistema Previsional Novena Edición |
|---|
| Fecha: | 02-02-2026 | Sector: | Noticia general | Región: | Región Metropolitana de Santiago |
|---|
| Fuente: | Diario Oficial Edición Electrónica (Diario Oficial de Chile - 1 Normas Generales) | Página(s): | 1-91 |
|---|
| Página: 1 726cm² |
|---|
| Página: 2 726cm² |
|---|
| Página: 3 726cm² |
|---|
| Página: 4 726cm² |
|---|
| Página: 5 726cm² |
|---|
| Página: 6 726cm² |
|---|
| Página: 7 726cm² |
|---|
| Página: 8 726cm² |
|---|
| Página: 9 726cm² |
|---|
| Página: 10 726cm² |
|---|
| Página: 11 726cm² |
|---|
| Página: 12 726cm² |
|---|
| Página: 13 726cm² |
|---|
| Página: 14 726cm² |
|---|
| Página: 15 726cm² |
|---|
| Página: 16 726cm² |
|---|
| Página: 17 726cm² |
|---|
| Página: 18 726cm² |
|---|
| Página: 19 726cm² |
|---|
| Página: 20 726cm² |
|---|
| Página: 21 726cm² |
|---|
| Página: 22 726cm² |
|---|
| Página: 23 726cm² |
|---|
| Página: 24 726cm² |
|---|
| Página: 25 726cm² |
|---|
| Página: 26 726cm² |
|---|
| Página: 27 726cm² |
|---|
| Página: 28 726cm² |
|---|
| Página: 29 726cm² |
|---|
| Página: 30 726cm² |
|---|
| Página: 31 726cm² |
|---|
| Página: 32 726cm² |
|---|
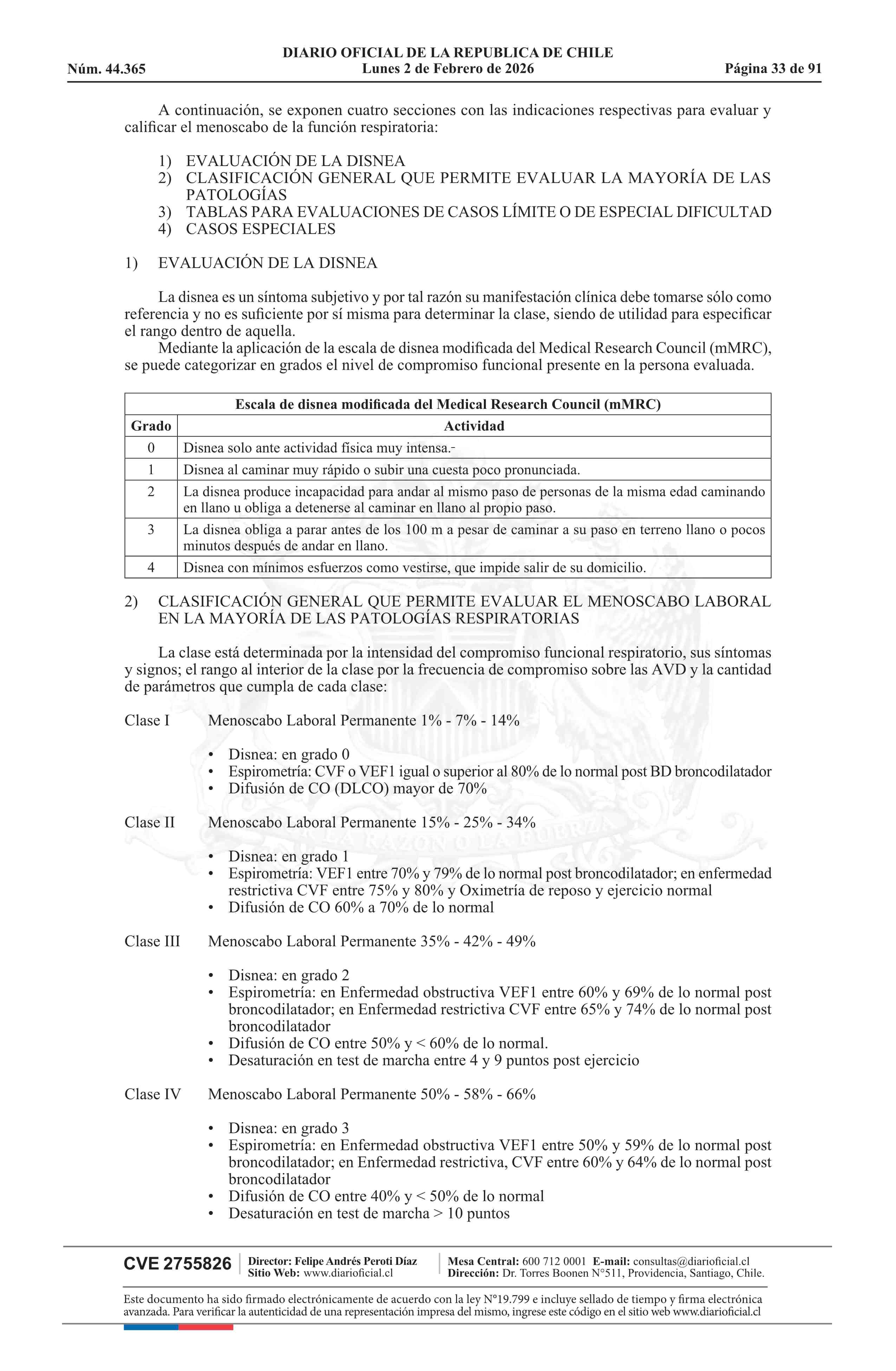
| Página: 33 726cm² |
|---|
| Página: 34 726cm² |
|---|
| Página: 35 726cm² |
|---|
| Página: 36 726cm² |
|---|
| Página: 37 726cm² |
|---|
| Página: 38 726cm² |
|---|
| Página: 39 726cm² |
|---|
| Página: 40 726cm² |
|---|
| Página: 41 726cm² |
|---|
| Página: 42 726cm² |
|---|
| Página: 43 726cm² |
|---|
| Página: 44 726cm² |
|---|
| Página: 45 726cm² |
|---|
| Página: 46 726cm² |
|---|
| Página: 47 726cm² |
|---|
| Página: 48 726cm² |
|---|
| Página: 49 726cm² |
|---|
| Página: 50 726cm² |
|---|
| Página: 51 726cm² |
|---|
| Página: 52 726cm² |
|---|
| Página: 53 726cm² |
|---|
| Página: 54 726cm² |
|---|
| Página: 55 726cm² |
|---|
| Página: 56 726cm² |
|---|
| Página: 57 726cm² |
|---|
| Página: 58 726cm² |
|---|
| Página: 59 726cm² |
|---|
| Página: 60 726cm² |
|---|
| Página: 61 726cm² |
|---|
| Página: 62 726cm² |
|---|
| Página: 63 726cm² |
|---|
| Página: 64 726cm² |
|---|
| Página: 65 726cm² |
|---|
| Página: 66 726cm² |
|---|
| Página: 67 726cm² |
|---|
| Página: 68 726cm² |
|---|
| Página: 69 726cm² |
|---|
| Página: 70 726cm² |
|---|
| Página: 71 726cm² |
|---|
| Página: 72 726cm² |
|---|
| Página: 73 726cm² |
|---|
| Página: 74 726cm² |
|---|
| Página: 75 726cm² |
|---|
| Página: 76 726cm² |
|---|
| Página: 77 726cm² |
|---|
| Página: 78 726cm² |
|---|
| Página: 79 726cm² |
|---|
| Página: 80 726cm² |
|---|
| Página: 81 726cm² |
|---|
| Página: 82 726cm² |
|---|
| Página: 83 726cm² |
|---|
| Página: 84 726cm² |
|---|
| Página: 85 726cm² |
|---|
| Página: 86 726cm² |
|---|
| Página: 87 726cm² |
|---|
| Página: 88 726cm² |
|---|
| Página: 89 726cm² |
|---|
| Página: 90 726cm² |
|---|
| Página: 91 726cm² |
|---|
|
Acuerdo Aprueba Normas para la Evaluación y Calificación del Grado de Invalidez de los Trabajadores Afiliados al Nuevo Sistema Previsional Novena Edición 02-02-2026 Diario Oficial Edición Electrónica |
Copyright © 2022 · LITORALPRESS