Loading...
 Imprimir    Cerrar
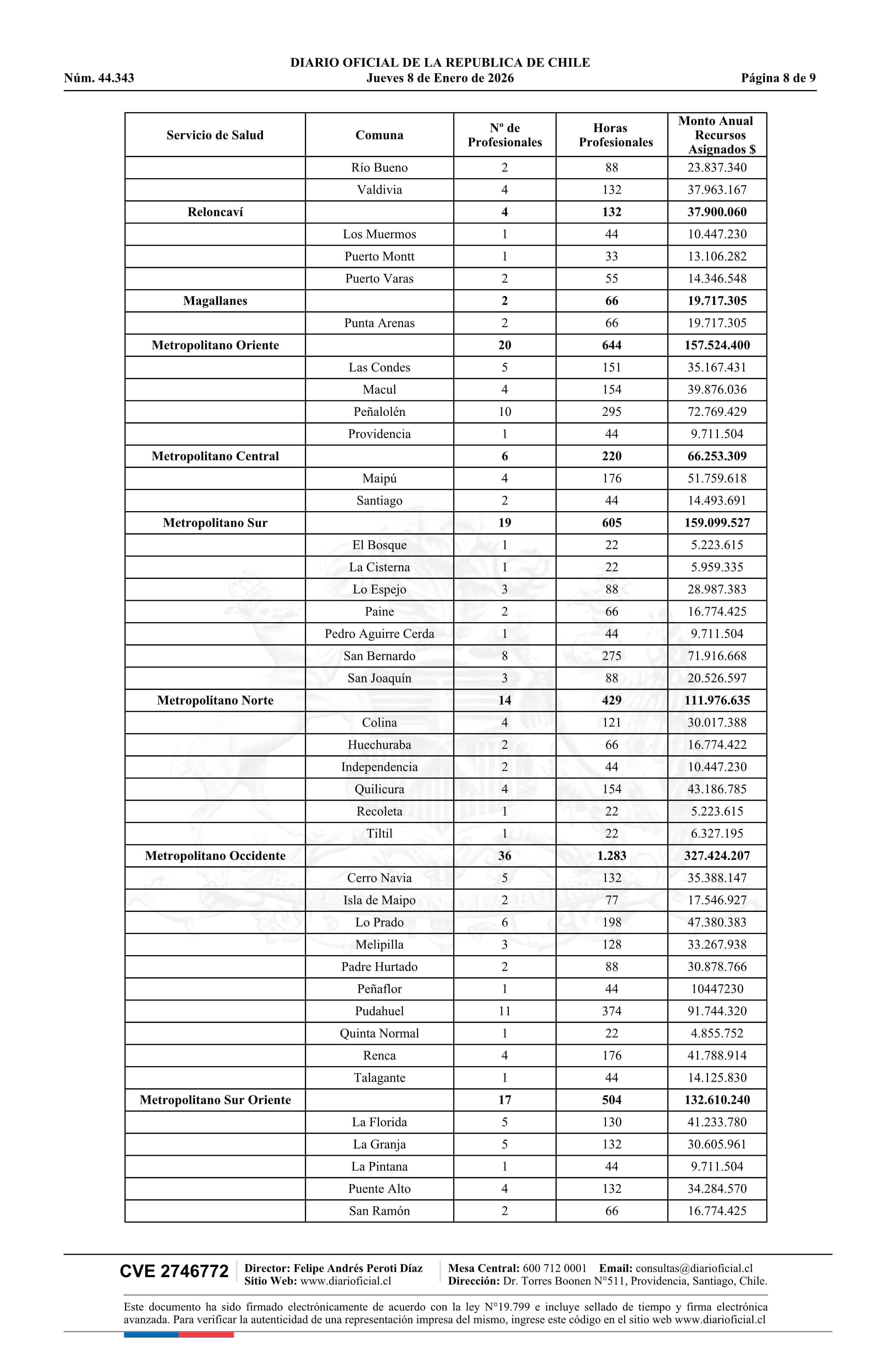
Título: Decreto exento número 34, de 2025.- Modifica decreto Nº 61 exento, de 2024, que determina especialidades de la medicina con derecho a asignación mensual de estímulo por competencias profesionales en atención primaria de salud en el año 2025
Fecha: 08-01-2026 Sector: Noticia general Región: Región Metropolitana de Santiago
Fuente: DIARIO OFICIAL CHILE - BOLETÍN OFICIAL DE MINERÍA (DIARIO OFICIAL CHILE – BOM – PEDIMENTOS MINEROS) Página(s): 43-51



































Decreto exento número 34, de 2025.- Modifica decreto Nº 61 exento, de 2024, que determina especialidades de la medicina con derecho a asignación mensual de estímulo por competencias profesionales en atención primaria de salud en el año 2025
08-01-2026 DIARIO OFICIAL CHILE - BOLETÍN OFICIAL DE MINERÍA



Para enviar a más de un destinatario separe las direcciones con comas
Ejemplo: usuario1@empresa.com, usuario2@empresa.com, usuario3@empresa.com
Scroll to Top