Loading...
 Imprimir    Cerrar
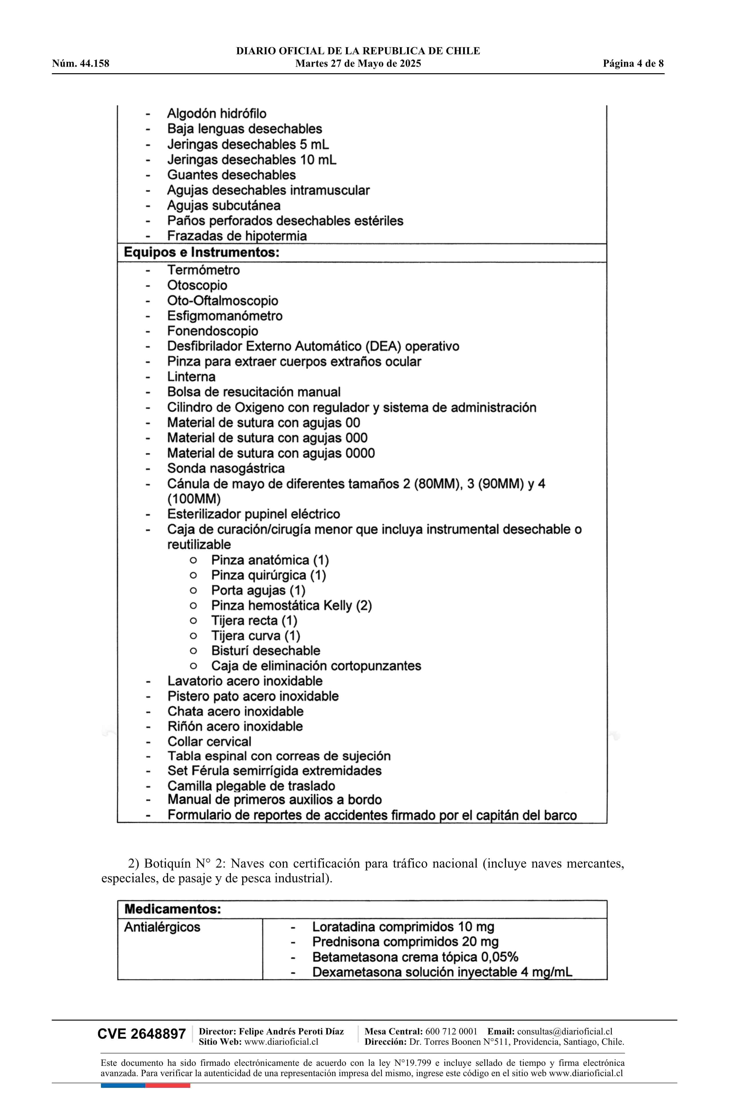
Título: Resolución exenta número 552, de 2025.- Determina los botiquines de medicamentos, instrumental y equipo médico que deben llevar las naves y artefactos navales???????
Fecha: 27-05-2025 Sector: Noticia general Región: Región Metropolitana de Santiago
Fuente: Diario Oficial Edición Electrónica (Diario Oficial de Chile - 1 Normas Generales) Página(s): 5-12
































Resolución exenta número 552, de 2025.- Determina los botiquines de medicamentos, instrumental y equipo médico que deben llevar las naves y artefactos navales???????
27-05-2025 Diario Oficial Edición Electrónica



Para enviar a más de un destinatario separe las direcciones con comas
Ejemplo: usuario1@empresa.com, usuario2@empresa.com, usuario3@empresa.com
Scroll to Top