Loading...
 Imprimir    Cerrar
Título: Solicitud Conexión Kimal Lo Aguirre S.A.
Fecha: 15-04-2026 Sector: Noticia general Región: Región Metropolitana de Santiago
Fuente: Diario Oficial Edición Electrónica (Diario Oficial de Chile - 2 Normas Particulares) Página(s): 398-399








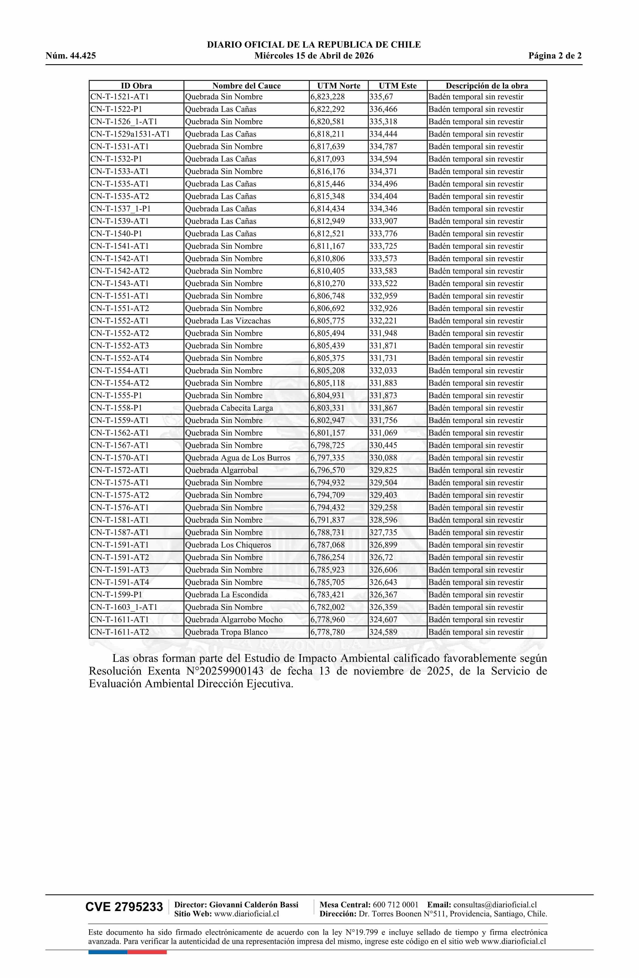
Solicitud Conexión Kimal Lo Aguirre S.A.
15-04-2026 Diario Oficial Edición Electrónica



Para enviar a más de un destinatario separe las direcciones con comas
Ejemplo: usuario1@empresa.com, usuario2@empresa.com, usuario3@empresa.com
Scroll to Top