Loading...
 Imprimir    Cerrar
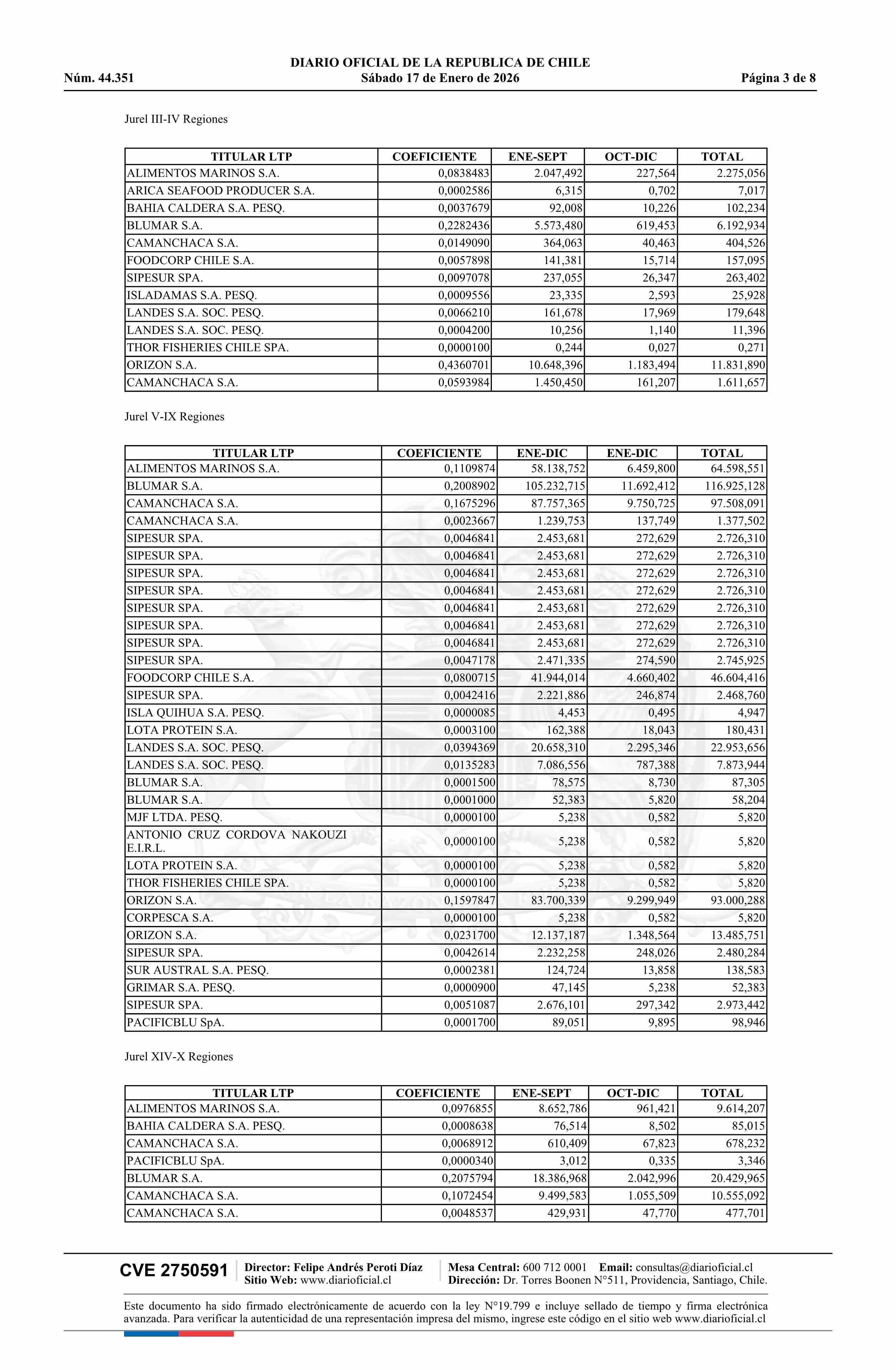
Título: Extracto de resolución exenta número 3.053, de 2025.- Establece toneladas para titulares de licencias transables de pesca, Clase A, año 2026, y fija nómina de titulares, arrendatarios y meros tenedores
Fecha: 17-01-2026 Sector: Noticia general Región: Región Metropolitana de Santiago
Fuente: Diario Oficial Edición Electrónica (Diario Oficial de Chile - 2 Normas Particulares) Página(s): 14-21








Extracto de resolución exenta número 3.053, de 2025.- Establece toneladas para titulares de licencias transables de pesca, Clase A, año 2026, y fija nómina de titulares, arrendatarios y meros tenedores
17-01-2026 Diario Oficial Edición Electrónica



Para enviar a más de un destinatario separe las direcciones con comas
Ejemplo: usuario1@empresa.com, usuario2@empresa.com, usuario3@empresa.com
Scroll to Top