|
|
Imprimir Cerrar |
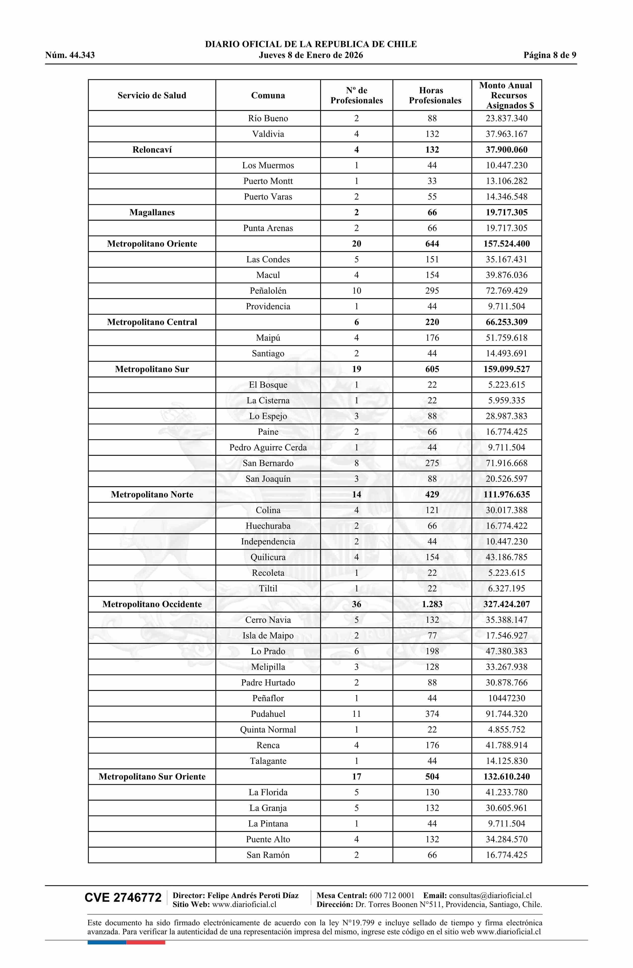
| Título: | Decreto exento número 34, de 2025.- Modifica decreto Nº 61 exento, de 2024, que determina especialidades de la medicina con derecho a asignación mensual de estímulo por competencias profesionales en atención primaria de salud en el año 2025 |
|---|
| Fecha: | 08-01-2026 | Sector: | Noticia general | Región: | Región Metropolitana de Santiago |
|---|
| Fuente: | DIARIO OFICIAL CHILE - BOLETÍN OFICIAL DE MINERÍA (DIARIO OFICIAL CHILE – BOM – NÓMINA CONCES ART90) | Página(s): | 43-51 |
|---|
Copyright © 2022 · LITORALPRESS