Loading...
 Imprimir    Cerrar
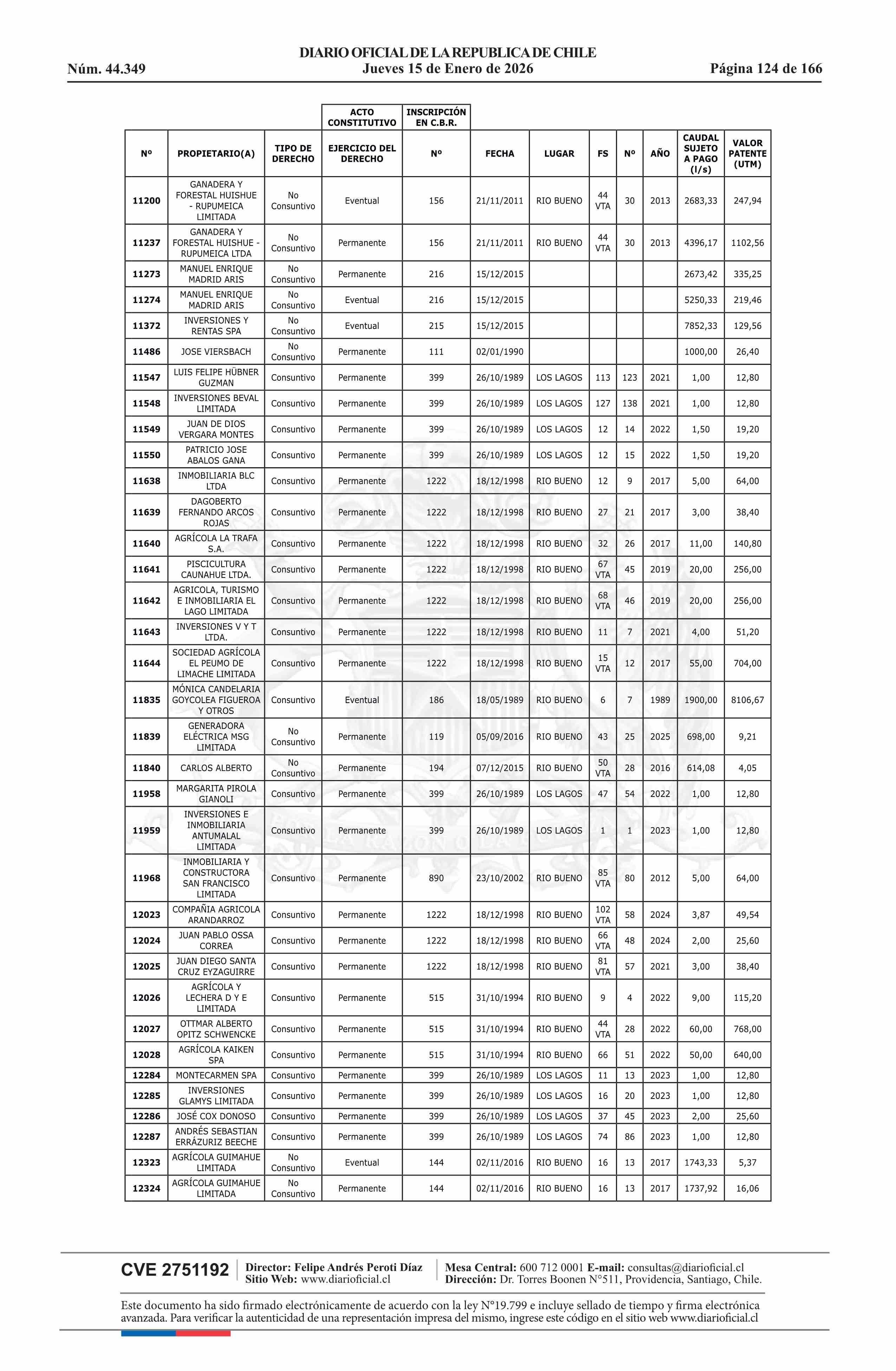
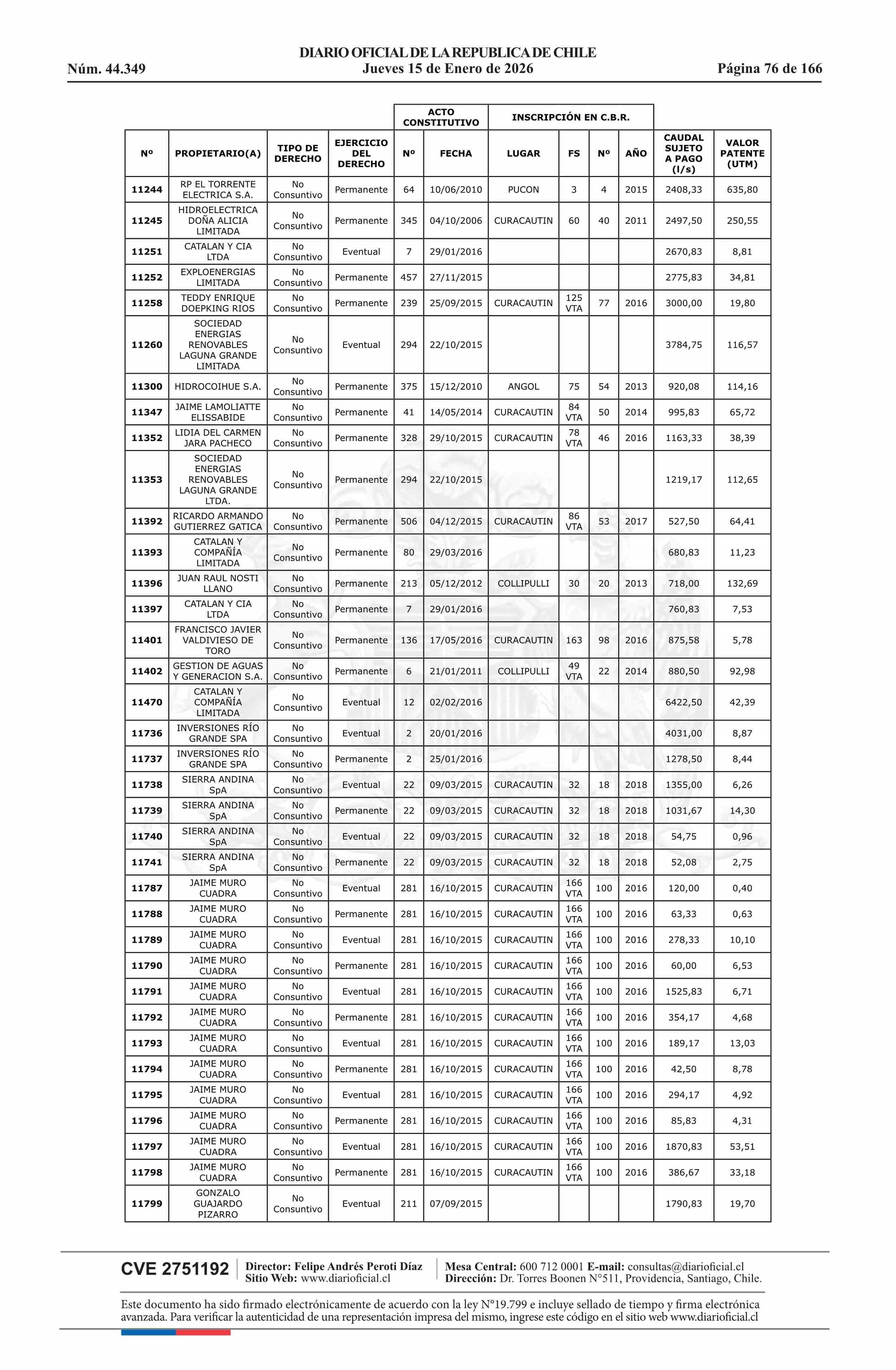
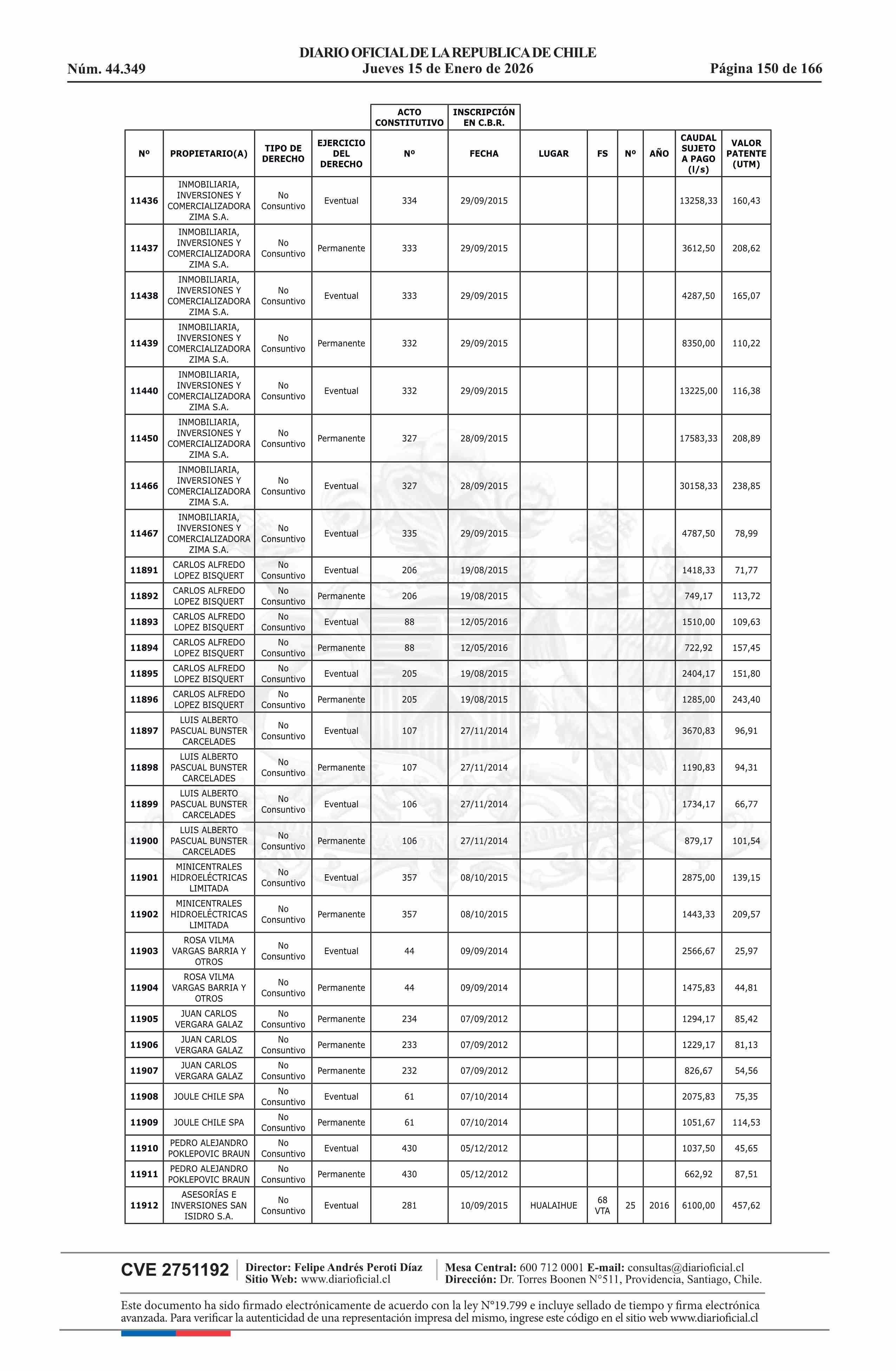
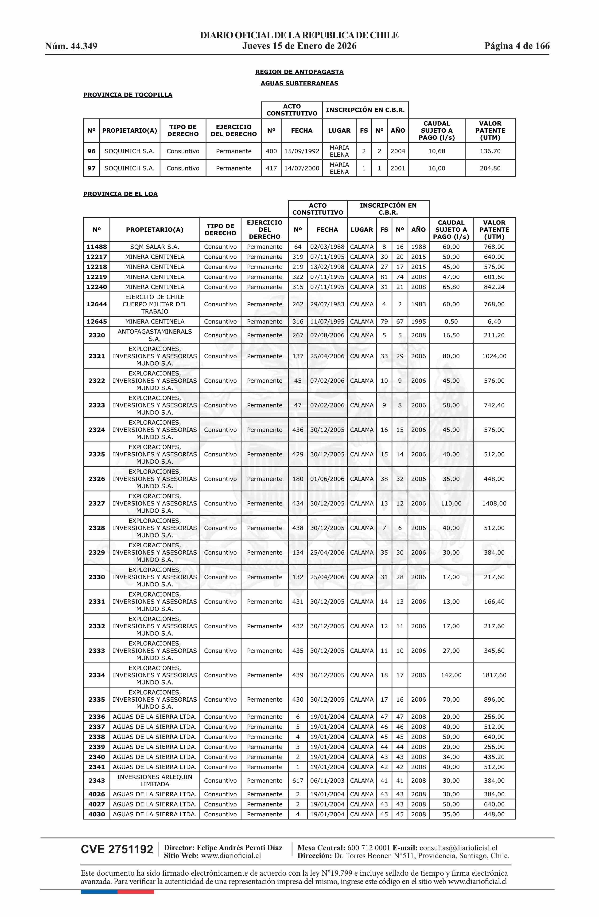
Título: Resolución exenta número 5.357, de 2025.- Fija listado de derechos de aprovechamiento de aguas afectos al pago de patente a beneficio fiscal por no utilización de las aguas, proceso 2026
Fecha: 15-01-2026 Sector: Noticia general Región: Región Metropolitana de Santiago
Fuente: Diario Oficial Edición Electrónica (Diario Oficial de Chile - 5 Empresas Y Cooper) Página(s): 30-180


Scroll to Top