|
|
Imprimir Cerrar |
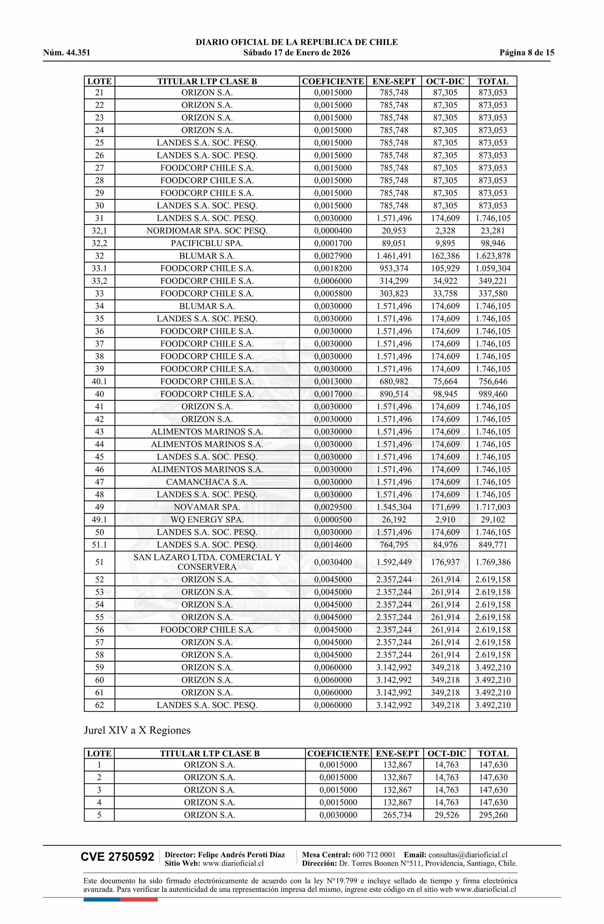
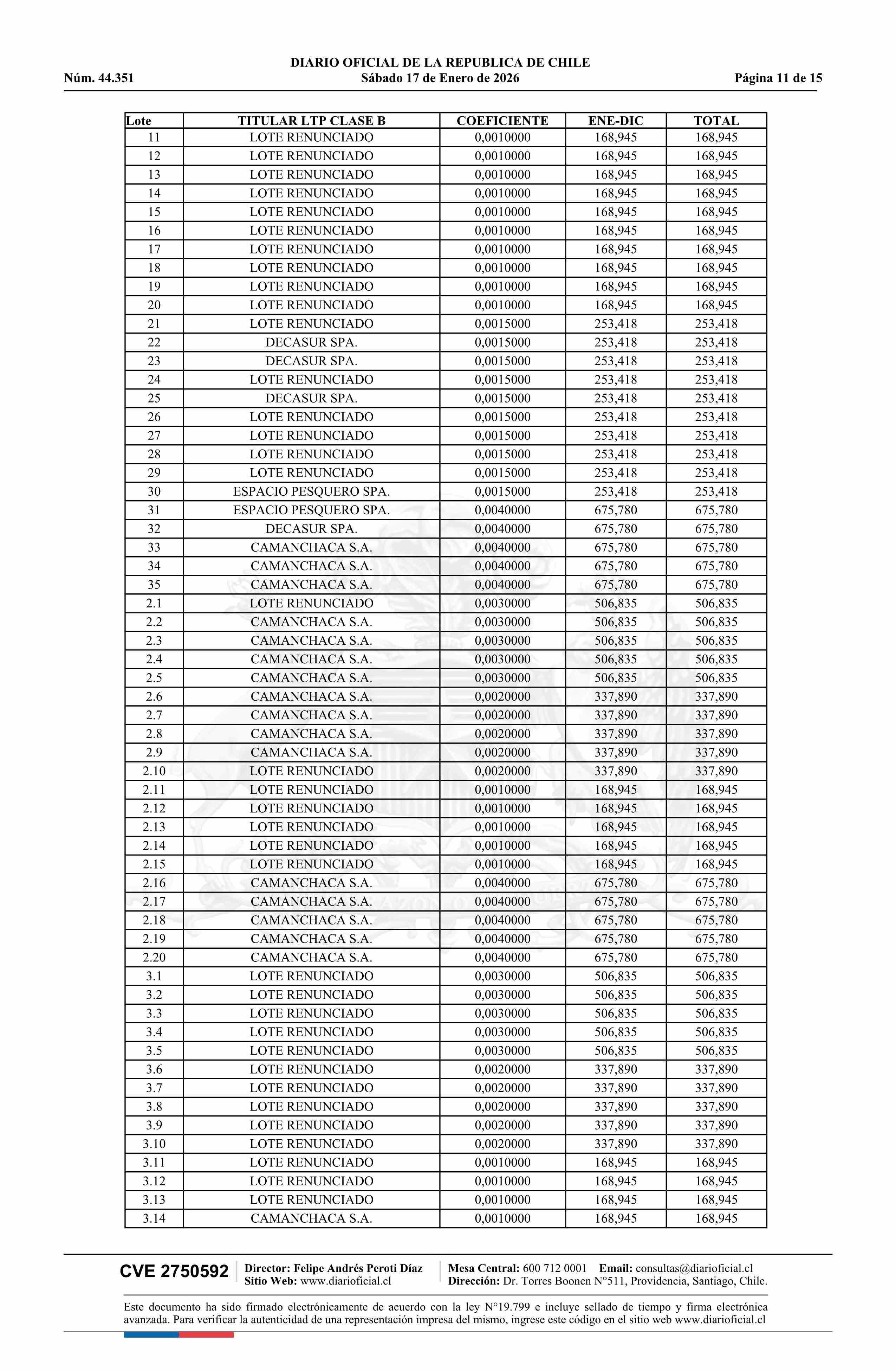
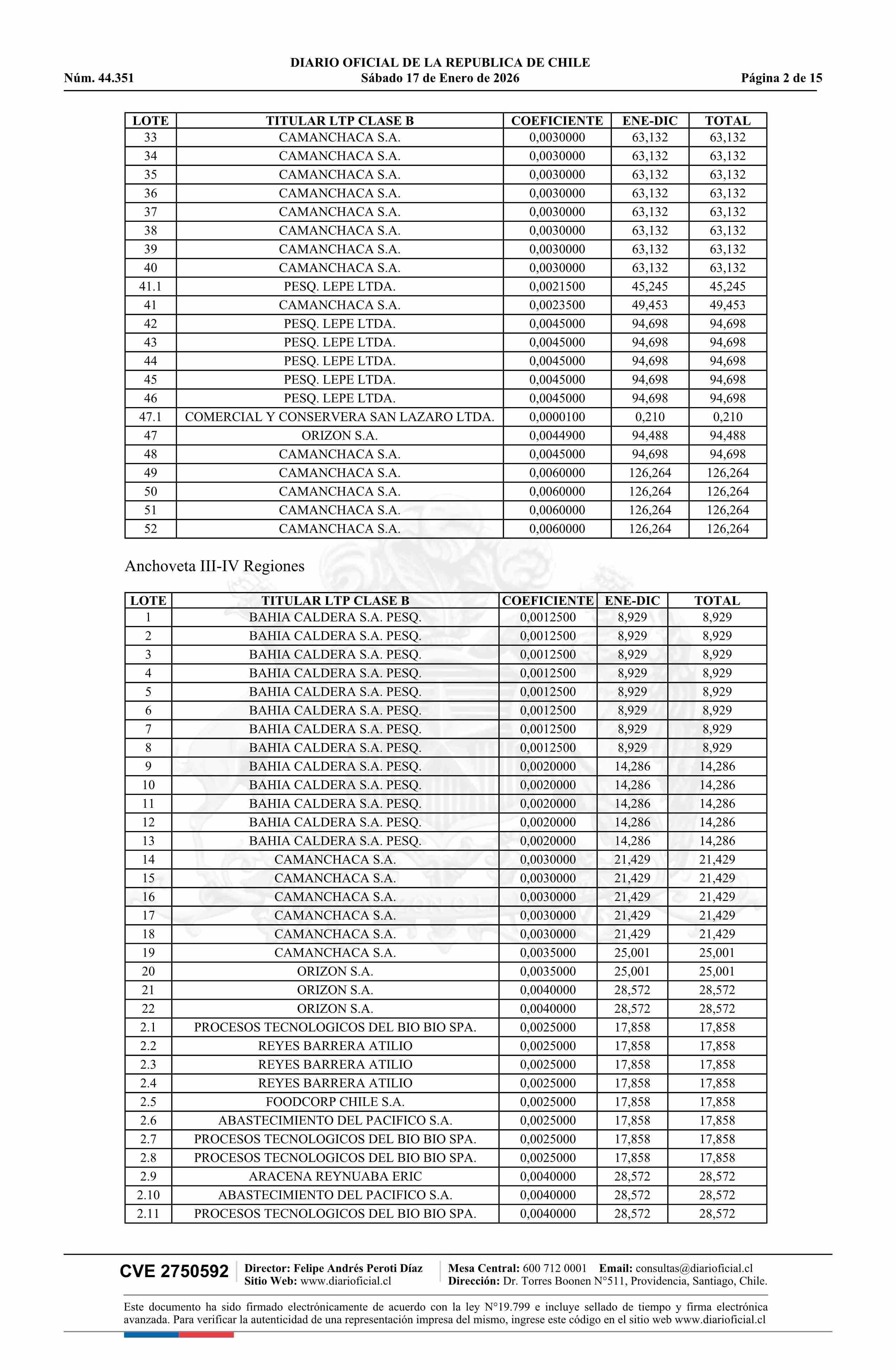
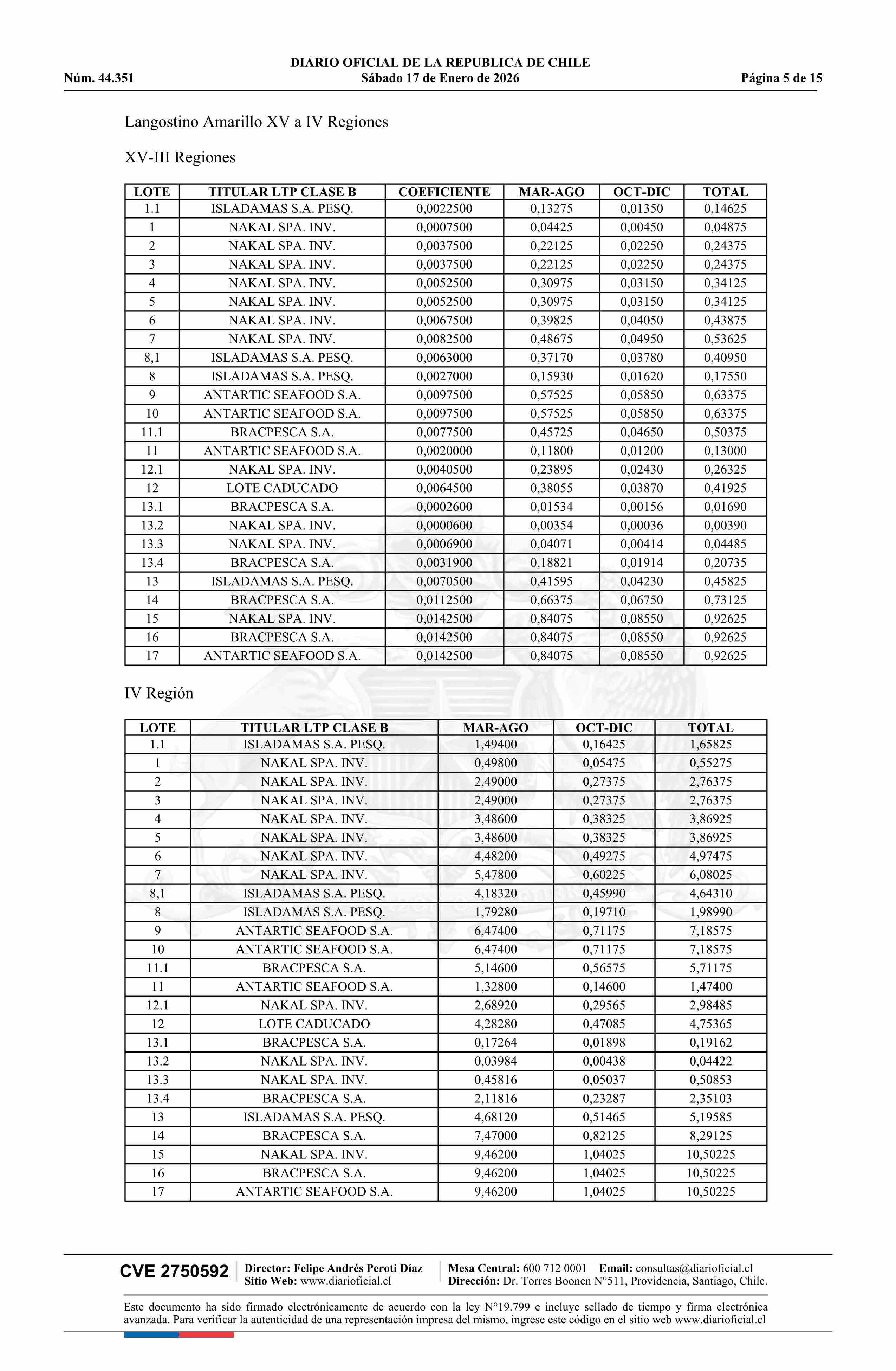
| Título: | Extracto de resolución exenta número 3.054, de 2025.- Establece toneladas para titulares de Licencias Transables de Pesca, Clase B, año 2026 |
|---|
| Fecha: | 17-01-2026 | Sector: | Noticia general | Región: | Región Metropolitana de Santiago |
|---|
| Fuente: | Diario Oficial Edición Electrónica (Diario Oficial de Chile - 2 Normas Particulares) | Página(s): | 22-36 |
|---|
Copyright © 2022 · LITORALPRESS