Loading...
 Imprimir    Cerrar
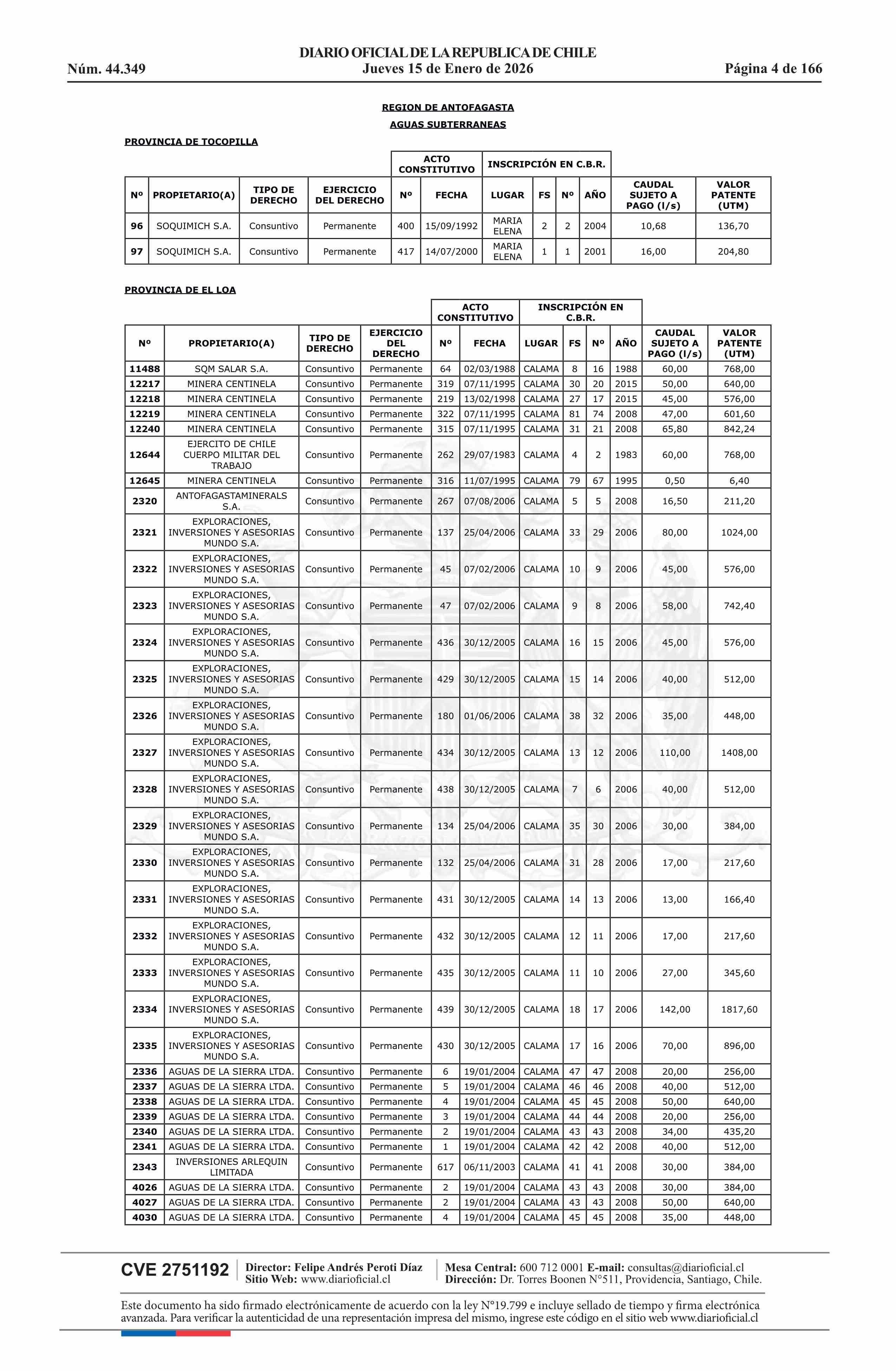
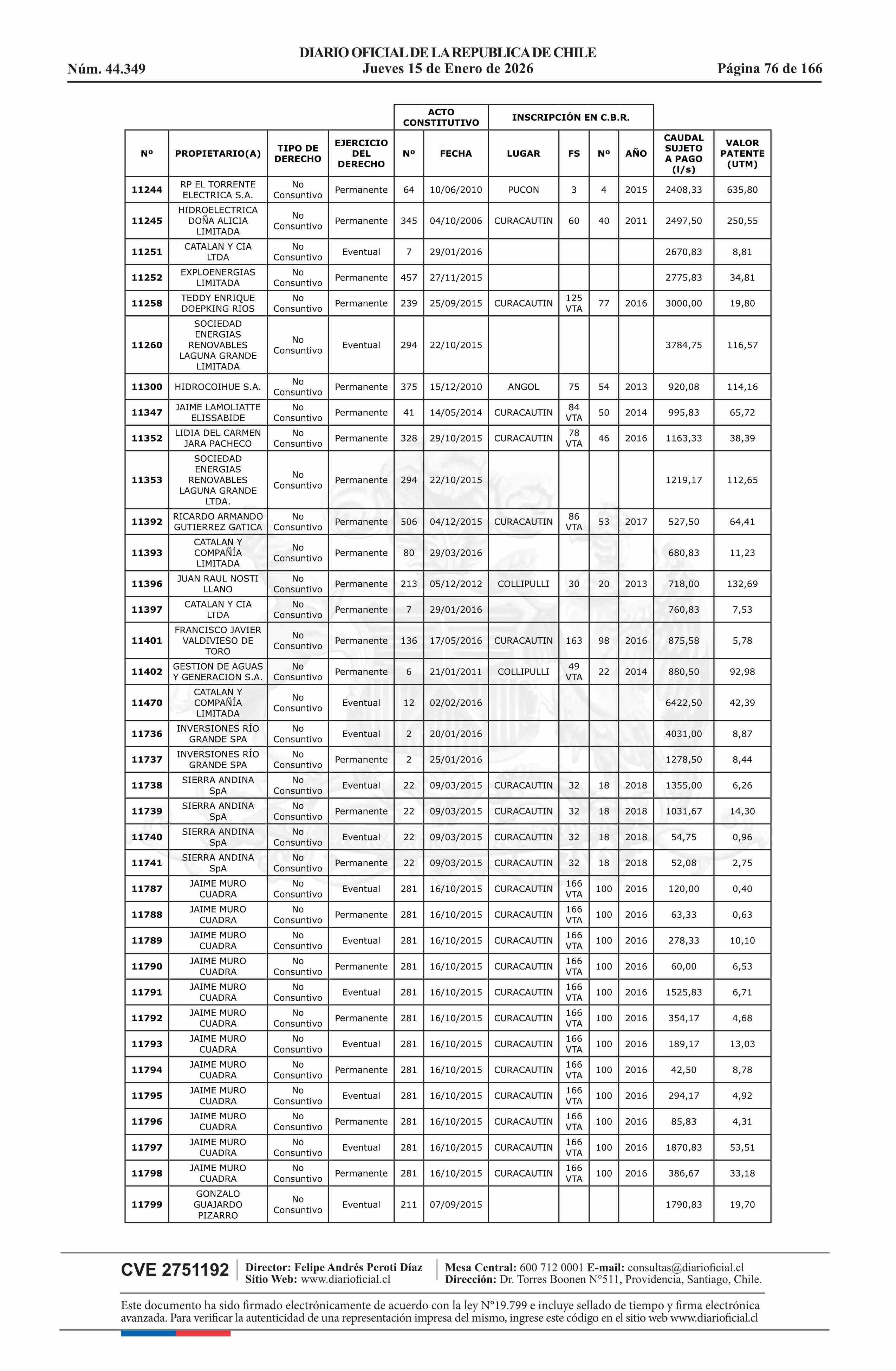
Título: Resolución exenta número 5.357, de 2025.- Fija listado de derechos de aprovechamiento de aguas afectos al pago de patente a beneficio fiscal por no utilización de las aguas, proceso 2026
Fecha: 15-01-2026 Sector: Noticia general Región: Región Metropolitana de Santiago
Fuente: Diario Oficial Edición Electrónica (Diario Oficial de Chile - 1 Normas Generales) Página(s): 30-138


Scroll to Top